诊断试验不同于筛检试验处是,筛检试验把病人及可疑病人与无病者区别开来。诊断试验则是进一步把病人与可疑有病但实际无病的人区别开来,
(一)诊断方法
1.诊断指标 可以分为三类。
(1)主观指标:指由被诊断者的主诉而确定的,如不舒服、头晕、头痛、食欲不振、失眠等等。这些指标最容易受被诊断者的主观影响而改变。如病人信任某医生给他服用了好的安眠药(可能根本不是安眠药),他可能就认为自己睡得好(实际上也许和往常一样)。因此,仅凭被诊断者主观感觉的指标,作为诊断指标常常很难反映真实情况。
(2)半客观(或半主观)指标:指根据诊断者的感觉而加以判断的指标,如肿物的硬度,肺部啰音的多少,脉象弦、滑等等。因为由诊断者主观判断,不同诊断者常易出现不同的判断。应用时,必须严格规定标准。
(3)客观指标:能用客观仪器加以测量的。很少依赖诊断者及被诊断者的主观意识判断,所以是比较最可靠的。在这类指标中,被观察者死亡的结果是一个绝对客观的指标,是不易弄错的。用仪器测定的结果,如体温计测的体温,胸部X线片观察肺部及胸骨病变,用血压计测定血压等等。这些都是客观记录下来的,但其结果是由观察者去判断的,虽然各观察者之间的差别不应该太大,但也存在不一致的机会。因此在应用一般客观指标时,也应该严格规定其详细的标准,以便得到可靠的结果。用自动记录仪器,也可得到可靠的读数。
2.诊断标准 诊标指标确定之后,就应该确定一个诊断标准(诊断界限)用以区别正确与异常。由于调查或筛检的结果经常以发病率、患病率、死亡率来表示,而这些率的分子是病人或因某病而死的人数。如果诊断不正确或诊断标准不一致,则所得出的率就不一样。
设以高血压患病率调查为例。以血压计上的kPa(1kPa=7.5mmHg)作为高血压的诊断指标。对高血压必须规定一个诊断标准。通常采用WHO规定的标准,即收缩压(SBP)为≥21.3kPa及(或)舒张压(DBP)≥12.7kPa为诊断高血压的标准。如果不同地区或不同时期采取的标准不一,则其结果不能相同。即或在同一地区、同一时间采取不同标准,也会得不同的结果。按一个地区血压值的分布如图5-2。如果以舒张压≥12.0kPa诊断为高血压,则高血压患病率为25.3%,如以≥12.7kPa作为高血压,则高血压患病率为14.5%,如以≥14.0kPa为标准,则患病率为4.8%。可见诊断标准必须统一与固定,才能得到准确的患病率。
在测定眼内压以诊断青光眼,测定血清转氨酶的单位数以判断是否正常,以血清效价来判定正常,以皮肤反应的红晕、荨麻疹直径大小判定阳性等等,都有一个正确的诊断标准问题。
通常遇到的情况是正常人的数值与病人的数值有重叠情况,如有人收缩压在20.0kPa还可被认为是正常值,而有的人则已属高血压;肥达反应H凝集效价有一些病人为1:80,而有一些健康人也可以有这种凝集效价。这种重叠的情况如图5-3所示。A为病人的最低值,B为非病人的最高值,在AB之间则既有病人,又有非病人。如果把病人与非病人的分界订在A,固然不会漏掉病人,但将会把一部分非病人划为病人组中;如果将分界订在B,虽没有将非病人误算为病人的情况,但又可以漏掉相当一部分病人;将分界订在AB之间的某个数值,则既有一小部分病人被算作非病人(漏诊),又有一小部分非病人被算作病人(误诊)。

图5-2 30~60岁158906人舒张压分布

图5-3 病人与非病人不同数值的分布示意图
在选定标准时,应该考虑到假阴性(漏诊,将病人作为非病人)或假阳性(误诊,将非病人作为病人)时,鉴别诊断试验的繁简程度;漏掉一个可能的病例其后果如何,有没有什么严重性;一定间隔期后再一次检查的可能性:以及该病的患病率等因素,以拟定一个合适的标准。在流行病学调查时应严格按规定标准进行诊断,不允许随意更改。这样就应该允许有一定程度的假阳性错误(第一类错误,α)或一定程度的假阴性错误(第二类错误,β)。
3.误诊率、漏诊率按图5-3,设将病例诊断标准定于AB之间,则在该分界左侧的小部分病人将被诊断为非病人(假阴性,漏诊),而在该分界右侧的小部分非病人将被诊断为病人(假阳性,误诊)。诊断标准确定后,在人群中进行诊断时,可能出现如表5-1的情况。
表5-1 按所定诊断标准将人群分组
| 按所定诊断 | 按“金标准”诊断 | |
| 标准 | 有病 | 无病 |
| 阳 性 | α(真阳性) | b(假阳性) |
| 阴 性 | c(假阴性) | d(真阳性) |
灵敏度
,(式5-1),即实际有病而按该诊断标准被正确地判为有病的百分率(真阳性率)。
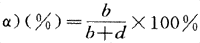
特异度
,(式5-2),即实际无病按该诊断标准被正确地判为无病的百分率(真阴性率)。
灵敏度、特异度高表示该项诊断试验对于有病、无病的识别能力强。
假阴性率(漏诊率、第二类错误,
,(式5-3),即实际有病,但根据该诊断标准被定为非病者的百分率。
假阳性率(误诊率、第一类错误,
,(式5-4),即实际无病,但根据该诊断标准被定为有病的百分率。
一项诊率效率高的诊断方法应该是真阳性率高,假阳性率低。这二项之比称为该诊断的似然比(likelihood ratio,LR),似然比愈大,诊断的价值也愈大。
(式5-5)
计算灵敏度、特异度应该用规范的诊断方法。此诊断方法是目前临床应用的灵敏度和特异度都最高的方法(或标准),又叫“金标准”(gold standard)。比如用冠状动脉造影诊断冠心病,用活检诊断结核、肿瘤,用手术诊断胆石症等。一个诊断方法如果不与金标准比较,则所得真、假阳性、真、假阴性不能反映真实的灵敏度、特异度。
一个诊断试验判定的结果与规范的标准诊断的结果相比时,二者相同的百分率叫符合率。符合率还可用于比较两个医生诊断同一组病人,或同一医生两次诊断同一组病人的结果。
(式5-6)(式5-7)(式5-8)
一个诊断方法的正确诊断指数(r,Youden’s index)可用于比较两个诊断方法,它表示诊断方法的真实度。
r=1-(假阳性率+假阴性率)=(灵敏度+特异度)-1 (式5-9)
设以高血压为例,检查10000人,如以收缩压21.3kPa为诊断标准,阳性(≥21.3kPa)病人25人,阴性(<21.3kPa)病人25人,阳性非病人995人,阴性非病人8955人。可计算如下:

正确诊断指数=(0.50+0.90)-1=0.40
如以收缩压17.3kPa为标准,阳性(≥17.3kPa)病人40人,阴性(<17.3kPa)病人10人,阳性非病人1990人,阴性非病人7960人。

正确诊断指数=(0.80+0.80)-1=0.60
4.诊断方法的评价
(1)可靠性:用同一种诊断方法在同样条件下,对相同的人群进行一次以上的检查,结果愈恒定(试验结果稳定性高),此诊断方法的可靠性愈高。
影响一种诊断方法的可靠性的因素有三:
1)方法的差异:如试剂的稳定性及被测物质数值的波动(如被测物的昼夜差异)。试验方法可受试剂质量、配制方法、温湿度等因素影响。仪器也可受外环境因素(如温度、湿度、安静、振动等)的影响,使测量值发生误差。所以,在进行诊断时必须对仪器、药品、条件等等有严重的规定。
2)被观察者的个体生物学变异:如血压值在上、下午、冬夏季不相同。血糖值在饭前、饭后不相同,身体上下肢、左右侧反应不尽相同等。此时,同一测量者用同一方法对同样被观察对象的测定结果也有不同。因此,应严格规定观测的条件(如时间、部位等)。
3)观察者的变异:包括观察者自身的变异(如不同时间、条件时)和观察者之间的变异。如数人筛检高血压时,必须预先经过训练,使几名观察者判断同一人同时的血压值差异在0.26kPa之内。
对诊断方法的可靠性,可以用变异系数(coefficient of variance)来表示。
(式5-10)
另外,还可以用不同观察者的符合率来判断其可靠性。
减少影响可靠性的方法:检查方法应标准化,观察者应经过严格的训练、方法准确、简单、不要采大量血、不要引起被观察者疼痛或不舒服等。此外,诊断指标不要订的太多、不要不管有否相关,只要本单位有的检查就一齐都用上。后者徒增加经济开支。
(2)真实性:对称有效性。诊断试验的真实性是测定值与真实值相符合的程度。评价诊断试验的真实性通常用该诊断试验的灵敏度、特异度(当然就有假阳性率和假阴性率)。人们希望所用的诊断试验方法是灵敏度和特异度都高的。可是从图5-3可见,将分界线向右移,则提高特异度,但灵敏度下降。而将分界线向左移,则提高灵敏度,但特异度就下降。
(二)灵敏度与特异度的关系
前节已谈到二者的关系为一个提高,则另一个下降。反之亦然。其关系可以表5-2为例。
表5-2 不同血糖水平诊断糖尿病的灵敏度、特异度
| 血糖水平标准(mg/dL) | 灵敏度(%) | 特异度(%) |
| 90 | 98.6 | 7.3 |
| 100 | 97.1 | 25.3 |
| 110 | 92.9 | 48.4 |
| 120 | 88.6 | 68.2 |
| 130 | 81.4 | 82.4 |
| 140 | 74.3 | 91.2 |
| 150 | 64.3 | 96.1 |
| 160 | 55.7 | 98.6 |
| 170 | 52.9 | 99.6 |
| 180 | 50.0 | 99.8 |
| 190 | 44.3 | 99.8 |
摘自Lilienfeld AM,1980
同样,误诊率(假阳性率)及漏诊率(假阴性率)也有如此关系。
确定以什么数值作为诊断标准,有一个要求确定误诊率与漏诊率哪个率小的问题。请参见附录六。
选择诊断标准时,一般按下列原则选定。

图5-5 患病率与预测值的关系(Vecchio.1966)
1.当假阳性及假阴性的重要性相等时,一般可把诊断标准定在“特异度=灵敏度”的分界线处,或定在正确诊断指数最大处。
2.有些严重疾病 如能早期诊断则可获得较好的治疗效果,否则后果严重。此时应选择灵敏度高的诊断标准,保证所有病人尽可能被筛检及诊断出。但特异度会同时降低,假阳性增多,需要进一步确诊的可疑病例即增多,从而增加检查成本。
3.治疗效果不理想 确诊及治疗费用较贵时,则可选择特异度较高的诊断标准。
灵敏度(真阳性)与假阳性(1-特异度)的关系,可以受试者作业特征曲线(receiver operator characteristic(ROC)curve)表示,见图5-4。