诊断标准确定后,判定诊断结果时在诸多环节可能出现不一致性,而当诊断错误后又可能严重影响下一步的治疗,以及预后等。
(一)发生临床不一致性的环节
临床意见不一致,可发生于收集病史、体格检查、实验室检查结果的解释以及诊断、治疗等等诸多环节。
1.由于询问方法不一致,常易出现不一致性。据某医院两位高年医师对同一批溃疡病术后者询问病情,二人的意见一致率尚不足2/3。
2.体格检查 将一种体征误作为另一种体征,从而作出不同的诊断。
3.实验室检查结果的解释出现不一致性 如胸部X线片、运动后心电图的ST段及T波是否正常以及判断末梢血涂片是否缺铁。两位医生判断时很难取得一致结果。如曾有人试验,两位医生判断一批运动后心电图是否正常,符合率仅57%;同一医生两次读结果,两次符合率为74%。
4.诊断和治疗受医学界当时流行的认识的影响而出现结果不一致的预期偏倚如在50年代,医学界认为儿童的扁桃体约50%应该摘除。将389名儿童带至第一组医生进行检查,174人(45%)被诊为应当做扁桃体摘除,其余215名不需要做。将这215名儿童带至第二组医生检查,99人(40%)被判定应做扁桃体摘除,116人不需要做。这116人经第三组医生检查,其中51人(44%)被判定为应做扁桃体摘除。三组医生都判定自己所诊治的儿童约50%(44%~46%)应做扁桃体摘除术。实际上,第二、三组医生所诊断的儿童已被前一组医生判定为不需要做扁桃体摘除。这种偏倚叫预期偏倚。
(二)产生临床不一致的原因
1.观察者的原因 如诊断指标、诊断标准不一致,诊断分类不清,不同专业人员偏重从本专业出发考虑诊断标准。观察者(检查者)的感觉上的差异,得到不同结果。由预期结果影响而形成的诊断上的预期偏倚等等。
2.被检查者的原因 如被检查部位不同、时间不同,可以影响测定结果。
3.检查的原因 诊断仪器性能不良或用法不当造成测定结果不稳定,检查时环境杂乱影响对精密测定结果的判定等。
(三)防止临床意见不一致的方法
1.安排适当的诊断环境 如安静、光线适当、温度舒适等。
2.实验室检查结果的报告 应不受临床诊断的干扰(盲法、独立判断),按检查结果作出。
3.核实据以确定诊断的关键性资料 如复查病史、体征,采用适当的实验室检查法,引用旁证资料,请求会诊等。
4.报告结果时 附上客观检查证据,以便别人据以判断。
5.增用适当的检查设备、技术等。
对临床意见不一致性的分析,最主要的目的是检验用于临床科研资料的质量,据之作出诊断、治疗决策及预后判断的可靠性及重复性的程度。
(四)判断临床意见一致性的符合率-kappa值
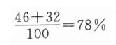
由临床经验相似的甲、乙二医生阅读100张胸部X线片,二人均诊断肺门淋巴结结核46例,均诊断正常32例。观察一致率(observed agreement,PO)=
。二人读片结果如表5-7。
表5-7 甲、乙二医生阅读胸部X线片诊断结果
| 甲医生诊断 | |||
| 乙医生诊断 | 合计 | ||
| 肺门淋巴结结核 | 正常 | ||
| 肺门淋巴结结核 | 46(α) | 10(b) | 56(r1) |
| 正 常 | 12(c) | 32(d) | 44(r2) |
| 合 计 | 58(c1) | 42(c2) | 100(N) |
按上表的分布,二人读片的机遇一致率(Pc,agreement expected on the base of chance )如下:
![]()
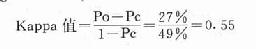
非机遇一致率(potentialagreement beyond chance)=100%-51%=49%
实际一致率(actualagreement beyond chance,PO-PC)=78%-51%=27%。
(式5-18)
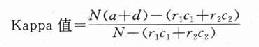
Kappa值也可由表5-7各数字直接求得,公式为:
(式5-19)
Kappa值表示不同人判断同一批结果,或同一人不同时间判断同一批结果的一致性强度。Kappa值愈高表示一致性愈好。关于具体数值表示的强度,各家意见不完全一致。一般认为Kappa值在0.4~0.75为有中、高度一致,≥0.75为有极好的一致性