(一)荧光色素
许多物质都可产生荧光现象,但并非都可用作荧光色素。只有那些能产生明显的荧光并能作为染料使用的有机化合物才能称为免疫荧光色素或荧光染料。常用的荧光色素有:
1.异硫氰酸荧光素(fluoresceinisothiocyanate,FITC)为黄色或橙黄色结晶粉末,易溶于水或酒精等溶剂。分子量为389.4,最大吸收光波长为490495nm,最大发射光波长520530nm,呈现明亮的黄绿色荧光,结构式如下:

有两种同分异结构,其中异构体Ⅰ型在效率、稳定性、与蛋白质结合能力等方面都更好,在冷暗干燥处可保存多年,是应用最广泛的荧光素。其主要优点是:①人眼对黄绿色较为敏感,②通常切片标本中的绿色荧光少于红色。
2.四乙基罗丹明(rhodamine,RIB200)为橘红色粉末,不溶于水,易溶于酒精和丙酮。性质稳定,可长期保存。结构式如下:

最大吸收光波长为570nm,最大发射光波长为595~600nm,呈橘红色荧光。
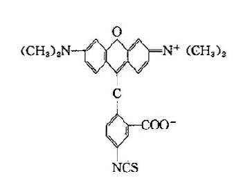
3.四甲基异硫氰酸罗丹明(tetramethylrhodamineisothiocyanate,TRITC)结构式如下:

最大吸引光波长为550nm,最大发射光波长为620nm,呈橙红色荧光。与FITC的翠绿色荧光对比鲜明,可配合用于双重标记或对比染色。其异硫氰基可与蛋白质结合,但荧光效率较低。
(二)其他荧光物质
1.酶作用后产生荧光的物质某些化合物本身无荧光效应,一旦经酶作用便形成具有强荧光的物质。例如4-甲基伞酮-β-D半乳糖苷受β-半乳糖苷酶的作用分解成4-甲基伞酮,后者可发出荧光,激发光波长为360nm,发射光波长为450nm。其他如碱性酸酶的底物4-甲基伞酮磷酸盐和辣根过氧化物酶的底物对羟基苯乙酸等。
2.镧系螯合物某些3价稀土镧系元素如铕(Eu3+)、铽(Tb3+)、铈(Ce3+)等的螯合物经激发后也可发射特征性的荧光,其中以Eu3+应用最广。Eu3+螯合物的激发光波长范围宽,发射光波长范围窄,荧光衰变时间长,最适合用于分辨荧光免疫测定。